CA88

²úÆ·×ÊѶ

ÓàÈȹøÂ¯,ȼÓÍÈ¼Æø¹øÂ¯,ÉúÎïÖʹøÂ¯,ȼú¹øÂ¯,Á´Ìõ¯ÅŹøÂ¯,Ñ­»·Á÷»¯´²¹øÂ¯µÈ¹øÂ¯×ÊѶ

Á½¶ÖÕÓÆø¹øÂ¯¼ÛÇ®

  2017-06-01        

ÕÓÆø £¬£¬£¬Ðí¶àÈ˶¼ÖªµÀËüÊÇ¿ÉÔÙÉúÄÜÔ´ £¬£¬£¬Ò²ÖªµÀËüÊǷdz£»£»£»·±£µÄ £¬£¬£¬µ«ÕÕ¾ÉÓÐÐí¶à¹ºÖùøÂ¯µÄ¿Í»§¶¼²»»áÑ¡Ôñ £¬£¬£¬ÎªÊ²Ã´£¿£¿£¿×ÅʵÊÇÓÉÓÚËüÓÐÒ»¶¨µÄ¾ÖÏÞ £¬£¬£¬¹ØÓÚÐí¶à¿Í»§À´ËµÕâÖÖȼÁÏÓÃÆðÀ´²¢²»Àû±ã £¬£¬£¬µ¹ÊÇÍÀÔ׳¡¡¢¡¢ÑøÖ³³¡»òÊÇũҵÉú³¤½ÏºÃµÄµØÇø¾­³£»£»£»áʹÓà £¬£¬£¬ÓÉÓÚÕÓÆø¾ÍÊǾ­ÓÉÕâЩµØ·½µÄ²ú³ö·ÏÆúÎïÔÙ·¢½Í¶øÌìÉúµÄ £¬£¬£¬ÒÔÊÇÊôÓڵ䷶µÄ“×Ô²ú×ÔÏú”ģʽ¡£¡£¡£Á½¶ÖÕÓÆø¹øÂ¯¼ÛÇ®Ê×ÏÈÒª¾ÙÐÐÕÓÆø¹øÂ¯Ñ¡ÐÍ £¬£¬£¬Ò»°ãWNSÕÓÆø¹øÂ¯µÄÓ¦ÓÃ½Ï¶à £¬£¬£¬ÓÉÓÚÕÓÆø¹øÂ¯¾ÍÊÇÖ÷ÒªÓÃÓÚ²ÉÎÂůÈÈË®µÄ £¬£¬£¬²¢ÇÒ¹æÄ£Ò»°ãÒ²²»ËãºÜ´ó £¬£¬£¬¶ÔÓ¦´ËÀàÓ¦ÓõÄÉÕÕÓÆøµÄWNSÈÈË®¹øÂ¯ÊÇ×îºÃµÄ¡£¡£¡£ËäÈ» £¬£¬£¬Ò²ÓÐÕÓÆøÕôÆû¹øÂ¯·½ÃæµÄÓ¦Óà £¬£¬£¬µ«ÕվɽÏÁ¿Éٵġ£¡£¡£

ÁíÍâ £¬£¬£¬ÔڲɹºÕÓÆø¹øÂ¯Ê±Òª×¢ÖØ £¬£¬£¬ÐèÒªÖªµÀ2¶ÖÕÓÆø¹øÂ¯ÌìÌì²ú¼¸¶àÁ¢·½Ã׵įø £¬£¬£¬2¶ÖÕÓÆø¹øÂ¯Ã¿Ð¡Ê±ºÄÕÓÆø¼¸¶àÁ¢·½ £¬£¬£¬ÕâÑù²ÅºÃÏàʶÐèÒªÅä¶à´óµÄÕÓÆø¹øÂ¯¡£¡£¡£

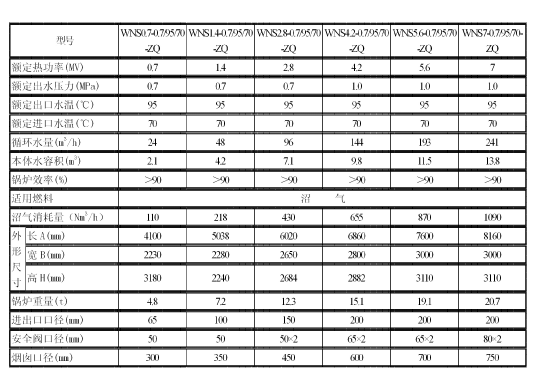
ÿÁ¢·½Ã×ÕÓÆøµÄ·¢ÈÈÁ¿Ô¼Îª20800£­23600ǧ½¹£¨4968-5637 ´ó¿¨/Á¢·½Ã×£©Ö®¼ä £¬£¬£¬×ÔÈ»ÆøÈÈÖµ39775ǧ½¹/Á¢·½Ã×£¨9500´ó¿¨/Á¢·½Ã×£©¡£¡£¡£Ò»°ã1t×ÔÈ»ÆøÈ¼Æø¹øÂ¯µÄÈ¼ÆøÏûºÄÁ¿Ô¼Îª80Á¢·½Ã×/Сʱ £¬£¬£¬ÒÔÊÇ £¬£¬£¬1¶ÖÕÓÆø¹øÂ¯Ã¿Ð¡Ê±ºÄÕÓÆøÔ¼Îª140Á¢·½Ã×/Сʱ×óÓÒ£¨ÈÈÖµÍÆË㣩¡£¡£¡£ÏÂÃæÊǽÏΪÏêϸµÄWNSÐÍÕÓÆø¹øÂ¯ÊÖÒÕ²ÎÊý¹æ¸ñ£º£º

ÕÓÆø¹øÂ¯¼ÛǮѡÐÍ

Ïà¹Ø²úÆ·

½¹Â¯ÃºÆø¡¢¡¢¸ßÂ¯ÃºÆø¹øÂ¯
½¹Â¯ÃºÆø¡¢¡¢¸ßÂ¯ÃºÆø¹øÂ¯ £¨¸ÖÌú³§ÃºÆøÕôÆû·¢µç¹øÂ¯£© ÏàʶÏêÇé ×Éѯ±¨¼Û
SZSϵÁÐȼÓÍÈ¼Æø¹øÂ¯
SZSϵÁÐȼÓÍÈ¼Æø¹øÂ¯ £¨Ë«¹øÍ²×ÝÖÃʽÊÒȼÓÍÆøÁ½ÓùøÂ¯£© ÏàʶÏêÇé ×Éѯ±¨¼Û
ZGϵÁÐȼÓÍÈ¼ÆøµçÕ¾¹øÂ¯
ZGϵÁÐȼÓÍÈ¼ÆøµçÕ¾¹øÂ¯ £¨ZGÐÍȼÓÍÈ¼Æø·¢µç¹øÂ¯£© ÏàʶÏêÇé ×Éѯ±¨¼Û
WNSϵÁÐȼÓÍÈ¼Æø¹øÂ¯
WNSϵÁÐȼÓÍÈ¼Æø¹øÂ¯ £¨ÎÔʽÄÚȼÐÍÊÒȼÓÍÆøÁ½ÓùøÂ¯£© ÏàʶÏêÇé ×Éѯ±¨¼Û
Ö£ ¹ø ¹É ·Ý

ʼÓÚ1945ÄêµÄCA88¹É·Ý £¬£¬£¬ÓÉÖ£ÖݹøÂ¯³§¸ÄÖÆ¶øÀ´ £¬£¬£¬Ö÷Óª²úÆ·£º£ºÑÌÆøÓàÈȹøÂ¯¡¢¡¢È¼ÓÍÈ¼Æø¹øÂ¯¡¢¡¢ÉúÎïÖʹøÂ¯¡¢¡¢È¼Ãº¹øÂ¯ £¬£¬£¬CA88¹É·ÝÓµÓйú¼ÒA¼¶¹øÂ¯ÖÆÔìÔÊÐíÖ¤ £¬£¬£¬ÊÇÖйú¹øÂ¯ÐÐÒµµÄÏÈ·æ £¬£¬£¬Ò²ÊÇÆù½ñΪֹÀúÊ·ÓÆ¾ÃµÄ¹Å°å×°±¸ÖÆÔìÆóÒµÖ®Ò»¡£¡£¡£

CA88¹É·Ý·þÎñÈÈÏß

400 - 839 - 1110

ÁªÏµÓÊÏä

sales@zgboilers.com
¿ìËÙ»ñµ½ÊÖÒÕÖ§³ÖºÍÏêϸ±¨¼Û

½Ó´ýÌîдÒÔϱí¸ñ £¬£¬£¬ÍêÉÆÄúµÄ²úÆ·ÐèÇ󡢡¢ÁªÏµ·½Ê½¡¢¡¢×°±¸Ê¹ÓõصÈÐÅÏ¢ £¬£¬£¬ÎÒÃǽ«¿ìËÙ·´À¡ÄúµÄ¹ºÖÃ×Éѯ¡£¡£¡£Äú»¹¿ÉÒÔͨ¹ýÔÚÏß×Éѯ £¬£¬£¬µç×ÓÓÊÏäºÍµç»°ÓëÎÒÃÇÁªÏµ £¬£¬£¬CA88¿Í»§·þÎñÍŶӽ«½øÒ»²½ÎªÄúÌṩÓÅÖÊ·þÎñ¡£¡£¡£

ÐÕÃû£º£º
µç»°£º£º
²úÆ·£º£º
ÏêÇ飺£º
×ÉѯÈÈÏß
ÔÚÏ߿ͷþ
¡¾ÍøÕ¾µØÍ¼¡¿
Á½¶ÖÕÓÆø¹øÂ¯¼ÛÇ®_CA88